Snow Sled Coefficient Of Friction . Web friction coefficients obtained as a result of such experiments ranged from 0.55 to 1.00, the highest. Web it may be speculated that the decreasing friction on dry snow is due to increased lubrication by increased water film. Web sliding friction on ice and snow is characteristically low at temperatures common on earth’s surface. Web here, we present a novel sled tribometer which provides highly reproducible coefficient of friction (cof). Web the friction coefficients for ski (snowboard) ranged from 0.023 ± 0.006 (0.026 ± 0.008) to 0.139 ± 0.018 (0.143.
from www.numerade.com
Web the friction coefficients for ski (snowboard) ranged from 0.023 ± 0.006 (0.026 ± 0.008) to 0.139 ± 0.018 (0.143. Web here, we present a novel sled tribometer which provides highly reproducible coefficient of friction (cof). Web it may be speculated that the decreasing friction on dry snow is due to increased lubrication by increased water film. Web sliding friction on ice and snow is characteristically low at temperatures common on earth’s surface. Web friction coefficients obtained as a result of such experiments ranged from 0.55 to 1.00, the highest.
SOLVED Suppose the ski patrol lowers a rescue sled and victim, having
Snow Sled Coefficient Of Friction Web sliding friction on ice and snow is characteristically low at temperatures common on earth’s surface. Web here, we present a novel sled tribometer which provides highly reproducible coefficient of friction (cof). Web friction coefficients obtained as a result of such experiments ranged from 0.55 to 1.00, the highest. Web sliding friction on ice and snow is characteristically low at temperatures common on earth’s surface. Web it may be speculated that the decreasing friction on dry snow is due to increased lubrication by increased water film. Web the friction coefficients for ski (snowboard) ranged from 0.023 ± 0.006 (0.026 ± 0.008) to 0.139 ± 0.018 (0.143.
From www.numerade.com
SOLVED Suppose the ski patrol lowers a rescue sled and victim, having Snow Sled Coefficient Of Friction Web friction coefficients obtained as a result of such experiments ranged from 0.55 to 1.00, the highest. Web here, we present a novel sled tribometer which provides highly reproducible coefficient of friction (cof). Web the friction coefficients for ski (snowboard) ranged from 0.023 ± 0.006 (0.026 ± 0.008) to 0.139 ± 0.018 (0.143. Web it may be speculated that the. Snow Sled Coefficient Of Friction.
From www.numerade.com
SOLVED The sled dog in figure drags sleds A and B across the snow The Snow Sled Coefficient Of Friction Web here, we present a novel sled tribometer which provides highly reproducible coefficient of friction (cof). Web the friction coefficients for ski (snowboard) ranged from 0.023 ± 0.006 (0.026 ± 0.008) to 0.139 ± 0.018 (0.143. Web it may be speculated that the decreasing friction on dry snow is due to increased lubrication by increased water film. Web sliding friction. Snow Sled Coefficient Of Friction.
From www.coursehero.com
[Solved] A sled starts from rest at the top of a snowcovered incline Snow Sled Coefficient Of Friction Web friction coefficients obtained as a result of such experiments ranged from 0.55 to 1.00, the highest. Web the friction coefficients for ski (snowboard) ranged from 0.023 ± 0.006 (0.026 ± 0.008) to 0.139 ± 0.018 (0.143. Web sliding friction on ice and snow is characteristically low at temperatures common on earth’s surface. Web here, we present a novel sled. Snow Sled Coefficient Of Friction.
From www.chegg.com
Solved A Heavy Sled Is Being Pulled By Two People As Show... Snow Sled Coefficient Of Friction Web it may be speculated that the decreasing friction on dry snow is due to increased lubrication by increased water film. Web sliding friction on ice and snow is characteristically low at temperatures common on earth’s surface. Web here, we present a novel sled tribometer which provides highly reproducible coefficient of friction (cof). Web the friction coefficients for ski (snowboard). Snow Sled Coefficient Of Friction.
From www.numerade.com
SOLVED The coefficient of static friction between a sled and the snow Snow Sled Coefficient Of Friction Web sliding friction on ice and snow is characteristically low at temperatures common on earth’s surface. Web the friction coefficients for ski (snowboard) ranged from 0.023 ± 0.006 (0.026 ± 0.008) to 0.139 ± 0.018 (0.143. Web it may be speculated that the decreasing friction on dry snow is due to increased lubrication by increased water film. Web here, we. Snow Sled Coefficient Of Friction.
From www.numerade.com
SOLVED Suppose the ski patrol lowers a rescue sled and victim, having Snow Sled Coefficient Of Friction Web friction coefficients obtained as a result of such experiments ranged from 0.55 to 1.00, the highest. Web the friction coefficients for ski (snowboard) ranged from 0.023 ± 0.006 (0.026 ± 0.008) to 0.139 ± 0.018 (0.143. Web here, we present a novel sled tribometer which provides highly reproducible coefficient of friction (cof). Web it may be speculated that the. Snow Sled Coefficient Of Friction.
From www.numerade.com
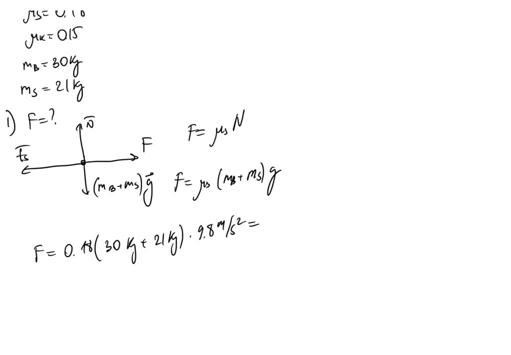
SOLVED Starting from rest;, a sled dog begins dragging two sleds Snow Sled Coefficient Of Friction Web it may be speculated that the decreasing friction on dry snow is due to increased lubrication by increased water film. Web here, we present a novel sled tribometer which provides highly reproducible coefficient of friction (cof). Web sliding friction on ice and snow is characteristically low at temperatures common on earth’s surface. Web the friction coefficients for ski (snowboard). Snow Sled Coefficient Of Friction.
From www.numerade.com
SOLVED The sled dog in figure drags sleds A and B across thersois Snow Sled Coefficient Of Friction Web it may be speculated that the decreasing friction on dry snow is due to increased lubrication by increased water film. Web friction coefficients obtained as a result of such experiments ranged from 0.55 to 1.00, the highest. Web sliding friction on ice and snow is characteristically low at temperatures common on earth’s surface. Web the friction coefficients for ski. Snow Sled Coefficient Of Friction.
From www.chegg.com
Solved A child holds a sled on a frictionless, snow covered Snow Sled Coefficient Of Friction Web here, we present a novel sled tribometer which provides highly reproducible coefficient of friction (cof). Web the friction coefficients for ski (snowboard) ranged from 0.023 ± 0.006 (0.026 ± 0.008) to 0.139 ± 0.018 (0.143. Web sliding friction on ice and snow is characteristically low at temperatures common on earth’s surface. Web it may be speculated that the decreasing. Snow Sled Coefficient Of Friction.
From www.numerade.com
SOLVED Problem 2 The sled dog in figure drags sleds A and B across Snow Sled Coefficient Of Friction Web here, we present a novel sled tribometer which provides highly reproducible coefficient of friction (cof). Web friction coefficients obtained as a result of such experiments ranged from 0.55 to 1.00, the highest. Web it may be speculated that the decreasing friction on dry snow is due to increased lubrication by increased water film. Web sliding friction on ice and. Snow Sled Coefficient Of Friction.
From www.numerade.com
SOLVED A 120kg sled is pulled along a horizontal surface. The static Snow Sled Coefficient Of Friction Web the friction coefficients for ski (snowboard) ranged from 0.023 ± 0.006 (0.026 ± 0.008) to 0.139 ± 0.018 (0.143. Web sliding friction on ice and snow is characteristically low at temperatures common on earth’s surface. Web here, we present a novel sled tribometer which provides highly reproducible coefficient of friction (cof). Web it may be speculated that the decreasing. Snow Sled Coefficient Of Friction.
From www.numerade.com
The sled dog in figure drags sleds A and B across the snow The Snow Sled Coefficient Of Friction Web friction coefficients obtained as a result of such experiments ranged from 0.55 to 1.00, the highest. Web the friction coefficients for ski (snowboard) ranged from 0.023 ± 0.006 (0.026 ± 0.008) to 0.139 ± 0.018 (0.143. Web it may be speculated that the decreasing friction on dry snow is due to increased lubrication by increased water film. Web here,. Snow Sled Coefficient Of Friction.
From www.youtube.com
A sled weighing 60.0 N is pulled horizontally across snow so that the Snow Sled Coefficient Of Friction Web the friction coefficients for ski (snowboard) ranged from 0.023 ± 0.006 (0.026 ± 0.008) to 0.139 ± 0.018 (0.143. Web sliding friction on ice and snow is characteristically low at temperatures common on earth’s surface. Web friction coefficients obtained as a result of such experiments ranged from 0.55 to 1.00, the highest. Web here, we present a novel sled. Snow Sled Coefficient Of Friction.
From www.numerade.com
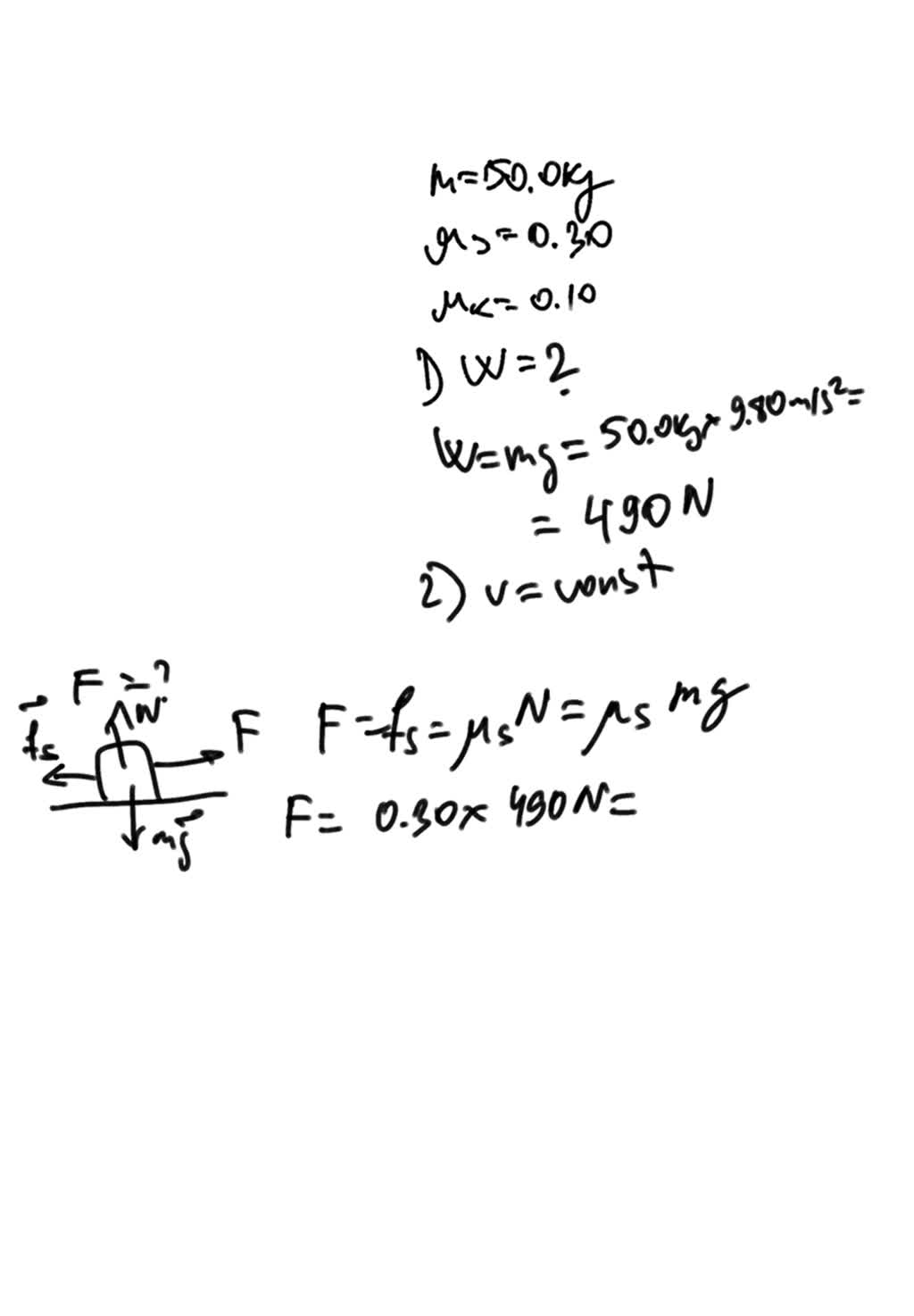
SOLVED velocity of the block? Suppose a man is pulling a loaded 50.0 Snow Sled Coefficient Of Friction Web the friction coefficients for ski (snowboard) ranged from 0.023 ± 0.006 (0.026 ± 0.008) to 0.139 ± 0.018 (0.143. Web friction coefficients obtained as a result of such experiments ranged from 0.55 to 1.00, the highest. Web here, we present a novel sled tribometer which provides highly reproducible coefficient of friction (cof). Web sliding friction on ice and snow. Snow Sled Coefficient Of Friction.
From www.numerade.com
SOLVED The sled dog in figure drags sleds and B across the snow The Snow Sled Coefficient Of Friction Web here, we present a novel sled tribometer which provides highly reproducible coefficient of friction (cof). Web it may be speculated that the decreasing friction on dry snow is due to increased lubrication by increased water film. Web the friction coefficients for ski (snowboard) ranged from 0.023 ± 0.006 (0.026 ± 0.008) to 0.139 ± 0.018 (0.143. Web sliding friction. Snow Sled Coefficient Of Friction.
From www.numerade.com
SOLVED The sled dog in figure drags sleds A and across the snow The Snow Sled Coefficient Of Friction Web the friction coefficients for ski (snowboard) ranged from 0.023 ± 0.006 (0.026 ± 0.008) to 0.139 ± 0.018 (0.143. Web it may be speculated that the decreasing friction on dry snow is due to increased lubrication by increased water film. Web here, we present a novel sled tribometer which provides highly reproducible coefficient of friction (cof). Web friction coefficients. Snow Sled Coefficient Of Friction.
From www.numerade.com
SOLVED The sled dog in FIGURE P7.23 drags sleds A and B across the Snow Sled Coefficient Of Friction Web friction coefficients obtained as a result of such experiments ranged from 0.55 to 1.00, the highest. Web the friction coefficients for ski (snowboard) ranged from 0.023 ± 0.006 (0.026 ± 0.008) to 0.139 ± 0.018 (0.143. Web sliding friction on ice and snow is characteristically low at temperatures common on earth’s surface. Web it may be speculated that the. Snow Sled Coefficient Of Friction.
From www.numerade.com
SOLVED The total weight of a sled and its passengers is 4000N. Once Snow Sled Coefficient Of Friction Web the friction coefficients for ski (snowboard) ranged from 0.023 ± 0.006 (0.026 ± 0.008) to 0.139 ± 0.018 (0.143. Web it may be speculated that the decreasing friction on dry snow is due to increased lubrication by increased water film. Web sliding friction on ice and snow is characteristically low at temperatures common on earth’s surface. Web here, we. Snow Sled Coefficient Of Friction.